Дозировочные насосы НД, НДР, НДЭ. Насосы-дозаторы: технические характеристики
|
Подача, л/ч |
Давление, кгс/см2 |
Мощность, кВт |
Способ регулирования подачи
НД НД...Р НД...Э |
||
| 0,01-2,5 | 4-250 | 0,24 | АР М7 | ||
| 0,4-300 | 3-400 | 0,25 | АР30 | ||
| 4-300 | 3-400 | 0,37 | АР30 | ||
| 10-630 | 6- 400 | 0,55 | АР33 | АР43 |
|
| 63-630 | 10- 100 | 1,1 | АР33 |
|
|
| 10-3200 | 1- 400 | 0,55 | АР31 | АР41 | АР51 |
| 16-6400 | 1- 400 | 1,1 | АР31 | АР41 | АР51 |
| 25-3200 | 4- 400 | 1,5 | АР31 | АР41 | АР51 |
| 40-5000 | 4- 400 | 2,2 | АР31 | АР41 | АР51 |
| 63-6000 | 4- 400 | 3,0 | АР31 | АР41 | АР51 |
| 100-7600 | 4- 400 | 4,0 | АР31 | АР41 | АР51 |
| 160-6400 | 8-630 | 5,5 | АР34 | АР44 | АР54 |
| 100-7600 | 8-630 | 7,5 | АР34 | АР44 | |
| до 6 точек подачи | 4-630 | 0,25-0,55 | АР40.1 | АР50.1 и АР50.3 | |
| до 10 точек подачи | 4-630 | 5,5-15 | АР55 | ||
| 400-45600 | 16-630 | 15-37 | АР46 | АР56 | |
Все насосы типа НД, НД..Р, НД..Э выпускаются в общепромышленном и взрывозащищенном исполнениях.
Основной параметрический ряд насосов НД, НДР, НДЭ с мощностью привода до 4 кВт.
Номинальные параметры подачи и давления дозировочных агрегатов, работающих на воде с температурой не выше 30 оС, в зависимости от мощности привода, максимальной длины хода и числа ходов плунжера в минуту, соответствуют значениям, указанным в таблицах 2.1 и 2.2.
Фактическая подача насоса на номинальном режиме может отличаться от указанного в таблицах 2.1 и 2.2 значения не более чем на +30% и -10%.
В технически обоснованных случаях, по согласованию с Заказчиком, могут изготавливаться дозировочные агрегаты с иными номинальными параметрами подачи и давления.
Для агрегатов мощностью привода до 4 кВт включительно основной параметрический ряд составлен для одноплунжерных агрегатов (см. табл.2.1). Диапазон показателей подачи и давления двухплунжерных агрегатов в таблицу не внесён.
Для агрегатов с мощностью привода 5,5 и 7,5 кВт основной параметрический ряд указан в таблице 2.2.
Основной параметрический ряд агрегатов мощностью привода 5,5 и 7,5 кВт.
Агрегаты с мощностью привода 5,5 кВт выпускаются в двух исполнениях: с одной или двумя насосными головками. Агрегаты с мощностью привода 7,5 кВт выпускаются только с двумя насосными головками. Каждое исполнение имеет четыре схемы сборки. Габаритные размеры наших агрегатов значительно меньше размеров агрегатов такой же мощности других производителей.
Регулирование подачи каждой насосной головки автономно, на ходу или при остановленном электродвигателе агрегата. Указанные особенности позволяют: одним агрегатом дозировать две жидкости, экономно использовать площади, выполнять рациональную компоновку и повысить удобство обслуживания насосного оборудования.
Агрегаты серийного выпуска с двумя насосными головками комплектуются насосными головками одного типоразмера. В таблице 2.2 указана их суммарная номинальная подача.
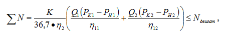
По требованию Заказчика на агрегате могут устанавливаться два насосные головки разных типоразмеров с любым сочетанием номинальных подач. При этом суммарная гидравлическая мощность, ΣN, двух насосных головок должна соответствовать условию:
где:
- Q1, Q2 –значения номинальной подачи соответственно первой и второй насосной головки, л/час;
-
Pн1, Рн2 – максимальное среднее значение давления во входном поперечном сечении при стационарном потоке соответственно первой и второй насосной головки, кгс/см2;
-
Pk1, Pк2 – максимальное среднее значение давления в выходном поперечном сечении при стационарном потоке соответственно первой и второй насосной головки, кгс/см2;
-
η11, η12 – коэффициент подачи соответственно первой и второй насосной головки;
-
η2 – механический КПД агрегата определяется потерями на трение в уплотнении дозировочной головки и в редукторе, определяющим является КПД редуктора, который для червячного редуктора следует принимать равным 0,75 – 0,85;
-
Nдвигат. – мощность электродвигателя, Вт;
- К – коэффициент запаса.
Основные технические характеристики и показатели надёжности агрегата
Требования к шумовым характеристикам агрегатов по ГОСТ 12.1.003.
Заявленные одночисловые значения шумовой характеристики в соответствии с ГОСТ 30691 сведены в таблицу 2.4.
Значения определены в соответствии с ГОСТ 23941 с учётом требований ГОСТ Р ИСО 3744.
Непревышение заявленных значений шумовых характеристик гарантируется. Требования к вибрационным характеристикам агрегатов по ГОСТ12.1.012. Среднее квадратическое значение виброскорости на основании агрегата не должно превышать значений, приведённых в таблице 2.5.
| Мощность привода, кВт | Уровень виброскорости на основании агрегата, мм/с |
| 0,25; 0,37 | 0,4 |
| 0,55; 1,1; 1,5 | 0,6 |
| 2,2; 3,0; 4,0 | 1 |
| 5,5; 7,5; 11 | 1,3 |
Агрегат дозировочный электронасосный плунжерный состоит из редуктора , с одной или двух насосных головок в зависимости от серии изготовления и электродвигателя.
Редуктор с червячной парой предназначен для преобразования вращательного движения приводного вала в возвратно-поступательное движение плунжера и изменения длины хода плунжера.
Изменение длины хода плунжера регулирует подачу агрегата.
Насосная головка состоит из гильзы с уплотнительным устройством, плунжера и шариковых клапанов (всасывающего и нагнетательного). Плунжер, совершая возвратно-поступательное движение в гильзе, осуществляет всасывание и нагнетание рабочей жидкости через клапаны. Основные параметры клапанной системы представлены в табл.2.6.
Таблица 2.6
| Номинальная подача, л/ч | d1, мм | Рис. Клапанов | Диаметр условного прохода Dу, мм | Диаметр шара клапана, мм |
| 0,4 - 6,3 | 5 | 2.1а | 5 | 6,35 |
| 10 — 12 | 14 | 2.1а | 8 | 12,7 |
| 16 -120 | 14 | 2.1б | 10 | 15,875 |
| 160 -320 | 18,5 | 2.1б | 15 | 19,844 |
| 400 — 800 | 32,5 | 2.1в | 25 | 35,719 |
| 1000 — 2000 | 38,5 | 2.1в | 32 | 44,45 |
| 2500 — 7600 | 45 | 2.1в | 40 | 57,15 |
Виды присоединений дозировочного насоса к трубопроводу
Уплотнительное устройство гидроцилиндра состоит из комплекта манжет шевронного типа и специальных колец. В комплект специальных колец входит фонарь. Рекомендации по применению устройства фонаря. Присоединение трубопроводов к штуцерам фонаря.
При необходимости на гидроцилиндре может быть предусмотрена рубашка обогрева или охлаждения. Рекомендации по применению.
Электродвигатель асинхронный короткозамкнутый фланцевый серии АИР или 4А (общепромышленного исполнения) и АИМ (взрывозащищённого исполнения) используется для привода насосных агрегатов.
Габаритные и установочные размеры, мощность электродвигателя на базовый ряд агрегатов см. в таблицах соответствующих серий. Данные по агрегатам с двигателями взрывозащищённого исполнения указаны в скобках. Данные по агрегатам без подвода промывочной жидкости, а также по агрегатам с рубашкой обогрева или охлаждения в таблицах не указаны и высылаются Заказчику по специальному запросу.
Допускаемые отклонения по массе агрегатов и габаритным размерам не более плюс 5%, отклонения в противоположную сторону не нормируются.






